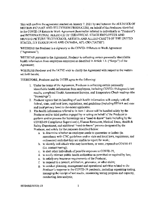
Skip to main content

Committee Reports

2022

2021

2020

2018

2016

Central Labor Councils
There are 23 central labor councils (CLCs) in California. These regional coordinating bodies bring unions from many industries together to take action on local and statewide issues. Labor councils organize, mobilize, and give working families a voice in the political process.
Central labor councils are organized by county and/ or region. For information about actions in your area, contact your central labor council.

 

L.A. County Fed meeting Feb 2016

2015

2014

2009